Products
PRODUCTS
20 years of industry experience, trustworthy
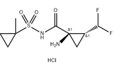
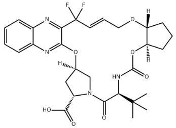
Glecaprevir Intermediate